Tim Brooks, Aleksander Holynski, Alexei A. Efros - University of California, Berkeley
https://arxiv.org/abs/2211.09800
InstructPix2Pix: Learning to Follow Image Editing Instructions
We propose a method for editing images from human instructions: given an input image and a written instruction that tells the model what to do, our model follows these instructions to edit the image. To obtain training data for this problem, we combine the
arxiv.org

https://instruct-pix2pix.timothybrooks.com/instruct-pix2pix.mp4
language model(GPT-3)과 text-to-image model(Stable Diffusion) 두 pretrained model을 결합하여 훈련 데이터를 구성하고 conditional diffusion model인 InstructPix2Pix를 통해 생성된 데이터로 훈련시킨다. 실제 이미지들과 user-written 지시들을 inference time동안 일반화시켜 사용한다.
추가적인 별도의 fine-tuning이나 inversion을 요구하지 않음. 빠름.

Image editing을 위해 human-written instruction을 따르는 generative model을 훈련시키기 위한 방법을 제안
paired training data를 위해 language model(GPT-3)과 text-to-image model(Stable Diffusion) 두 pretrained model을 결합하여 생성.
생성된 paired data를 사용하여 conditional diffusion model에서 훈련함.
모델은 forward pass에서의 image edit이기 때문에 추가적인 예시 이미지가 필요하지 않고 example마다의 fine-tuning 역시 필요하지 않다.
본 모델은 임의의 real image와 natural human-written instruction을 통한 zero-shot genratlization을 달성하기에 다양한 edit이 가능하다.
Composing large pretrained models
~
GPT3, Stable Diffusion 이 모델들을 활용해 paired multi-modal training data를 생성하는데 사용함.
Diffusion-based generative models
다양한 generative modalities 수행.
Generative models for image editing
~
본 모델은 단일 이미지와 instruction을 가지고 어떻게 이미지를 수정하는지 수행.
특별한 user가 그린 mask, 추가적인 이미지 또는 example마다의 inversion/fine-tuning 없이 forward pass에 대한 edit을 수행.
Learning to follow instructions
Training data generation with generative models
~
저자들은 두 generative model(language, text-to-image)를 사용하여 훈련 데이터를 생성하기 위해 사용

(1) paired training dataset 생성
(2) 생성된 dataset으로 image editing diffusion model 훈련
생성된 이미지와 editing instruction으로 훈련시켰음에도 불구하고, 본 모델은 임의의 human-written instruction을 사용하여 실제 이미지들을 editing하고 일반화할 수 있다.
-> 사람이 직접 instruction과 이미지를 제공하면 Instruction에 맞는 이미지 editing된 이미지를 생성해준다는 의미
3.1.1 Genrating Instructions and Paired Captions

Figure 2 (a)에서 보이듯 Input Caption이 제공되었을 때 Instruction과 Edited Caption을 만들기 위해서 GPT-3를 finetuning하여 훈련시킨다.
여기서 우리가 필요한 것은 Input Caption, Edit Instruction, Output Caption 총 3개이다. (일종의 Supervised 형식)
이에 따라 700개의 input caption과 사람이 직접 적은 instruction과 output caption을 훈련데이터로 사용한다.
GPT-3 Davinci model을 1 epoch에 대하여 fine-tuning 진행
-> 이렇게 하면 Input Caption에 대하여 창의적이고 sensible instruction과 caption이 생성된다.
Input Caption은 큰 규모의 다양한 내용이 있고 다양한 medium이 존재하는 LAION dataset-Aesthetics로부터 caption한다.
LAION에 noise가 있는 단점은 dataset filtering과 classfier-free guidance로 완화시킴.
이를 통해 454,445개의 instruction과 caption corpus example을 구성
3.1.2 Genrating paired images from Paired Captions
Figure 2 (b)와 마찬가지로 Input Caption과 Edited Caption이 주어졌을 때 이미지를 Edit하기 위해 Stable diffusion을 사용한다. 그러나 image consistency의 유지를 위해 Prompt-to-Prompt를 사용한다.

Figure 3에서 확인할 수 있듯 Prompt-to-Prompt는 denoising step에서 cross attention weight를 수정함으로써 다른 prompt를 사용한 두 이미지간 유사성을 높이게 하는 방법이다.
denoising steps fraction인 p를 통해 두 이미지간 유사성을 조절할 수 있는 파라미터가 존재한다. 그러나 최적의 값을 찾는 것은 어렵기 때문에 caption pair 마다 100개의 sample 이미지 pair를 생성한다.
이후 CLIP 기반 metric을 사용하여 filter한다.
여기서 사용하는 CLIP space에서의 Directional Similarity는 두 이미지간의 변화와 두 이미지 caption간의 변화 consistency가 유사하도록 측정하는 metric으로 강건하며 다양하고 질 좋은 이미지를 만들도록 돕는다.
이제 만들어진 dataset을 Stable Diffusion에 fine-tuning한다.

다만 image conditioning을 위해서 첫 conv layer의 input channel들을 추가함으로써 $z_t, \mathcal{E}(c_I)$을 concatenating한다.
이때의 초기 channel value는 0
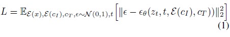
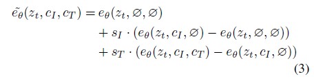
3.2.1 Classifier-free Guidance for Two Conditionings
Classfier free Guidance는 diffusion model에의해 생성된 sample의 quality와 diversity의 trading off에 대한 향상된 방법론으로 data쪽으로 probability mass를 효율적으로 이동시킨다.

보통 conditioning $\e_\theta (z_t, c)$를 가깝게 하고 unconditioning $\e_\theta (z_t, \varnothing)$을 멀리하도록 수식이 주어진다.
본 모델은 image에 대한 것과 text instruction에 대한 conditioning을 고려해야하기에 아래와 같이 수식을 진행한다.





SDEdit과 Text2Live와 비교를 진행

CLIP filter를 사용하는 것이 더 좋다. 제거하면 image consistensy가 감소한다.

Classifier-free guidance의 weight별 결과로
$s_T$가 높을수록 강한 edit이 진행. 5~10
$s_I$가 높을수록 원본 이미지의 공간적 구조가 보존됨. 1~1.5
$s_T, s_I$가 각각 5~10, 1~1.5가 좋은 결과


비교적 좋은 결과물들을 보였으나 한계점이 분명하고 좋지 못한 결과들이 나올 때가 존재.
이는 사용한 large model들의 bias가 영향을 주었음을 고려함.
https://github.com/timothybrooks/instruct-pix2pix
GitHub - timothybrooks/instruct-pix2pix
Contribute to timothybrooks/instruct-pix2pix development by creating an account on GitHub.
github.com
https://www.timothybrooks.com/instruct-pix2pix/
InstructPix2Pix
We propose a method for editing images from human instructions: given an input image and a written instruction that tells the model what to do, our model follows these instructions to edit the image. To obtain training data for this problem, we combine the
www.timothybrooks.com
https://huggingface.co/spaces/timbrooks/instruct-pix2pix?ref=louisbouchard.ai
InstructPix2Pix - a Hugging Face Space by timbrooks
huggingface.co